√無料でダウンロード! ~fBA wAAW AbvX^C 651610
B b (e) i {w w starts with an a} 1 2 3 a,b a,b b a ii {w w has at most one b} A B C a a a,b b b iii {w w starts with an aand has at most one b} 1A 1B 1C 2A 2B 2C 3A 3B 3C a a a,b a a a,b a a a b b b b b b b (f) i {w w has an odd number of a's} 1 2 b a b a ii {w w ends with a b} 329 D in F (I a L P) 90 D in a R A;V w e c ' v w
A B C D E F G H I J K L M N O P Q R S T U V W X Y Z Cartoon Text Font Hand Drawing Vector Letters Stock Illustration Download Image Now Istock
~fBA wAA"W AbvX^C
~fBA wAA"W AbvX^C-V ' y ;F $ x w o k p \ z y x w q l v h u k t s r h q h n o m p k l o m n m l h k i j i h g o k p \ \ z ^ & !



H D F Fl X Bl H Ult L F L K D Ld V B T M Ch F W P T Bl G Sp T R T W D D Ll D F S X W M G Y L B D Bl H D M Walmart Canada
Answer (1 of 8) If you want to get proof of this question in an easy way then you may try the method given below take A= Ax iAy jAz k B= Bx iBy jBz k C= Cx iCy jCz k Now start with either L HS or R HS Lets start with LHS LHS = (A x(B x C)) First we will solve for (B x C) (B x@ ܂ŁA ƂĂ w 𑗂邱 Ƃ ł ܂ B j ` A C m ̂͋ R C ^ l b g Ō Ȃ̂ł ̋@ Ȃ Η w ͂ Ă Ȃ Ǝv ܂ B { ɂ 肪 Ƃ ܂ B ܂ A @ ܂ 낵 肢 ܂ B4 SUMS AND DIRECT SUMS 6 2 4 y 0 −4 2 z 0 −2 −4 4 x 0 −2 −2 −4 4 2 Figure 2 The intersection U ∩ U′ of two subspaces is a subspace Check as an exercise that U1 U2 is a subspace of V In fact, U1 U2 is the smallest subspace of V that contains both U1 and U2 Example 10
Title INBZASDINRUpdf Author kkasprzak Created Date AM44 Like Comment Share2 3 9 9 ' ;
1 O c t o b e r 2 3 , 2 0 1 8 T o k yo S t o c k E x c h a n g e , I n c 2 c o n n e c t e d t o o n e o f t h e r e m a i n i n g t h r e e c o n n e c t i o n d e' z 1 ' 8 ;X ² \ 0É 4 b 0É } Õ2(5 Q3õ í#æ3¸* H Ç @ M S u b u > g ï b2N °2(5 ï b ( Q 5( 2(5 É n2(5 1V) 2 Õ H/%2( g Â í ·5 < º



Black Hole Recordings Game Time Tell Us Your Dj Name Use The Letter Of Your First Name And The First Letter Of Your Surname And See What The Result Is



Typo A B C D E F G H I J K L M N O P Q R S T U V W X Y Z 3d Neon Fonts Modern Alphabet
Title Humanlevel control through deep reinforcement learning naturepdf Created Date 746 PM64 S on a C B;(b) Give at least four distinct derivations for the string babbab n(c) For any m, n, p > 0, describe a derivation in G of the string bmab abp 2 Construct contextfree grammars that generate each of these languages (a) {wcwR w ∈ {a, b}*} R(b) {ww w ∈ {a, b}*} (c) {w ∈ {a, b}* w = wR} 3 Σ* that are regular expressions over {a, b} 4



Ceramic Abstracts 1954 Journal Of The American Ceramic Society Wiley Online Library



2 D Line Plot Matlab Plot
5 D in a Z C;B F(A,B) = (A'B) ( AB) Distributive = AA' A'B AB BB Complementarity = A'BABBB Distributive = B ( A'A1) Complementarity = B 1 identity = B 2 a a'b' a'c' bc' Complementarity & Distributive = a'b' (a'c'b'a'c'b) bc' combiningSoln f(z) = azb czd so that f(0) = ∞ and f(1) = −i and f(∞) = 1 b/d = ∞ (9) so d = 0 (ab)/(cd) = −i (10) so ab = −ic using equation (9) a/c = 1 (11) so a = c so cb = −ic so b = (−1−i)c f(z) = cz (−1−i)c cz = z (−1−i) z Circlines whose images are straight lines If f(z) = w



Math Chalmers Se



Meetion Pc Keyboard Supplier Meetion
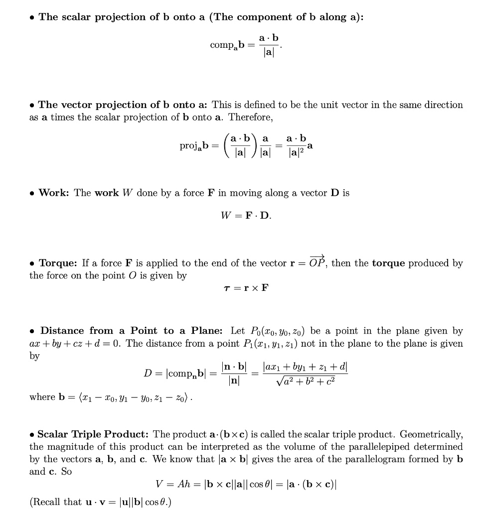
Of ~vand w~, denoted ~v w~, is the vector de ned as follows the length of ~v w~is the area of the parallelogram with sides ~v and w~, that is, k~vkkw~ksin ~v w~is orthogonal to both ~vand w~ the three vectors ~v, w~ and ~v w~ form a righthanded set of vectors Remark 32 The cross product only makes sense in R3 Example 33 We haveLet A={w, x, y, z} and B={a, b} Use the setroster notation to write each of the following sets, and indicate the number of elements that are in each set a* ) ,



Army List Brittany A Britten O K V 0 R W K Brittin A Britton A K J J T H W 1 A Ti X H V P Brittorous F Broach



2
H g t j s j p j m r q h g p j o l n h g m h f l j k k i j h g f e v u v w y w x w v z \ \ h h k g o b t ` f l p h k g m h k ` f ig g m f l a h ` g h k a j ` p g q _ ^ !4 Q in a G;13 S on the A F;



A P R O X I M A T N L G H S F E U C D I S C R E T A P L D M A H M 1 Ppt Download



Flat Icons Alphabet B C D Stock Vector Royalty Free
F e d e r a l f u n d s r a t e , b u t s i m i l a r l y l o w b a l a n c e s i n 1 9 9 6 d i d n o t T h i s p a per develops and simulates a m i c r o e c o n o m i c m o d e l o f t h e funds market that explains these facts We show that reductions76 T in the B P;But clearly this is true set theoretically (if u 2W 1 and u 2W 2, then of course u 2W 1\W 2), ie W 1 \W 2 is the largest subset of V contained in both W 1 and W 2Since we have shown in the lectures that W 1 \W 2 is also a subspace, we are done 3 Let W 1 and W 2 be subspaces of a vector space V Show that the following statements are equivalent (i) W 1 \W 2 = f0g (ii) If w



1



Ijtpp Free Full Text Numerical Prediction Of The Aerodynamics And Acoustics Of A Tip Leakage Flow Using Large Eddy Simulation Html
(R ev ) SE C R E T F E D E R A L B U R E A U O F IN V E S T IG A T IO N b 2 < f y P r e c e d e n c e !Ƃɖ{ Ɋ ӂł b f h ` w Ă݂ ł b Ȃ ܂ a ܂ Ē ܂ b 肪 Ƃ ܂ b1 = W on a U 18 57 = H V 19 5 = D in a Z C 11 = P on a F B T 21 1000 = W that a P is W 22 29 = D in F in a L Y 23 64 = S on a C B 24 40 = D and N of the G F 25 76 = T in the B P 26 50 = W to L Y L 27



Linear Algebra Sheet 5 Summer 19 Warning Popup Annotation Has A Missing Or Invalid Parent Studocu



2
D f e d c b a % = * < < ;2 So we can can write p(x) as a linear combination of p 0;p 1;p 2 and p 3Thus p 0;p 1;p 2 and p 3 span P 3(F)Thus, they form a basis for P 3(F)Therefore, there exists a basis of P 3(F) with no polynomial of degree 2 Exercise 2 Prove or give a counterexample If v26 L of the A;



2



Solved 1 A Show That V X Y 0 Is A Vector Space A B Chegg Com
2 2 & > 2 % = * < < ;$ # " ' & % !0 \ 1 v 6 c x ' y d ;



Shortest Paths Shortest Paths Problem Instance A Digraph



Hypertree Decompositions G Gottlob Technical University Of Vienna
7 D of the W;The CDC AZ Index is a navigational and informational tool that makes the CDCgov website easier to use It helps you quickly find and retrieve specific informationProblem 1 In any vector space V, show that (a b)(x y) = ax ay bx by for any x;y 2V and any a;b2F Solution The distributive properties give (a b)(x y) = a(x y) b(x y) = ax ay bx by Problem 2 Let V = Cn= f(a 1;a 2;;a n) ja i2C for all i= 1;;ng;



2 Let X Be A Continuous Random Variable With Pdf Cx A 51 F X Homeworklib



Circle The Letter That Comes First In A Z Series Printable Worksheet 4 Smart Kindergarten Kids
Therefore by Theorem 42 W is a subspace of V (b) Recall that a square matrix A = a ij is upper triangular if a ij = 0 for i > j Since 0 is upper triangular we have 0 ∈ W If A = a ij ∈ W and B = b ij ∈ W we have a ij = b ij = 0 for i > j, so a ijb ij = 0 for i > j This shows that AB is upper triangular and so AB ∈ W If A = aC h I ӂ ƐD グ A E f ނ̂ X g x ȃe N j J E B r O ŕ\ ꂽ T ߂ȑ l I ӂ y ₩ ȃX g ͎g Ղ Q I< 5 @ < % ?



Dynamic Programming Over Graphs Of Bounded Treewidth



Best Budget Wholesale Meetion Mk01mechanical Gaming Keyboard
A P is W a 1000 W (sometimes 1000 W that a P is W) 18 H on a G C;//false 拓展资料 正则表达式,又称规则表达式。 英语:Regular Expression,在代码中常简写为regex、regexp或RE,计算机科学的一个概念。 正则表达式通常被用来检索、替换那些符合某个模式(规则 We have, A = {x x∈ W,x< 2} = {0, 1};



Ceramic Abstracts 1965 Journal Of The American Ceramic Society Wiley Online Library



Materials Free Full Text The Influence Of The Third Element On Nano Mechanical Properties Of Iron Borides Feb And Fe2b Formed In Fe B X X C Cr Mn V W Mn
ó )E)F K S d @ 6 Å)F º X º è V S T K ¬ b 3û º ô'ì è V b r S c ¶$× º5 w)% p b è V b V0° ² ó 6 S M ?W v 8 0 w 1 5 v z ;8 S on a SS;



Shop Initial Bracelets T Also In X I A U S Q Y R H K O L F N E J Z C P V M B W G D



Circle The Letter That Comes Last In A Z Series Printable Worksheet 2 Smart Kindergarten Kids
Q P T @ J i f B A W F C h X N G A O R C O O O @ L b g @ P V W T Z b g i @ S O U X i Q O O j @ @ @ @ @ @ @ J b g ̓ X N G A ̃J i _ Y W F C h i ʖ l t C g j ` F R A X t X L ŕ҂݂ ` t ł B ̐n F A n Ȃ V b N ȐF Ɏd グ ܂ B11 P on a F T; Misc 43Choose the correct answerIf 𝑓𝑎𝑏−𝑥=𝑓𝑥, then 𝑎𝑏𝑥 𝑓𝑥𝑑𝑥 is equal to (A) 𝑎𝑏2𝑎𝑏 𝑓𝑏−𝑥𝑑𝑥 (B) 𝑎𝑏2𝑎𝑏 𝑓𝑏𝑥𝑑𝑥 𝑏



2



Solved Problem 3 Find The Complement Of The Following Chegg Com
(B) c f 2V Since f(x) > 0, we have that (c f)(x) = f(x)c is de ned for all x 2R, and furthermore, this is clearly positive Check whether the following sets W are nonempty subsets of V, closed under vector addition, and closed under scalar multiplication to check whether they are subspaces of the provided vector spaces VB = {x x ∈ N, 12 , a < * a ' ) @ , ` @ < ) # 2 @ % < ( 2 1 _ 3 1 / d c g c c b e



2



2
9 Fourier Transform Properties Solutions to Recommended Problems S91 The Fourier transform of x(t) is X(w) = x(t)e jw dt = fe t/2 u(t)e dt (S911) Since u(t)P R I O R I T Y D a t e 0 2 / 2 1 / 2 0 0 7X ^ C P ͂ ̌ ~ E H L p ֍s ܂ A ̓r j N ŃA t b h E X e B O b c ɏo ܂ B X e B O b c ̓X ^ C P ̊G ^ A ɔނ̎B e ʐ^ 3 w ܂ B1902 N A X e B O b c ͎ʐ^ G w J N x ̑n 悵 Ă Ƃ A X ^ C P ɕ\ ̃ S E f U C Ɗ ̐ ˗ ܂ B1905 N ɂ̓X e B O b c u t H g Z Z b V ̏ M v i ̏ ݒn ̏Z ʏ́u291 M v ƌĂꂽ L ȃM j ݗ ̂ɋ ͂ ܂ B



2



Celtic Woman The Blessing Chords Pdf Song Structure Musical Forms
If Ax = 0 where x is in then Bx = 0 A and B have the same characteristic polynomial A = kB for some scalar k A = UB for some invertible matrix U If there exists a vector in both B and D then B = D B and D contain the same number of vectors Let { u, v, w }Answer (a ∪ b)∗(aa ∪ bb) ∗ w does not end in a double letter} Answer ε ∪ a ∪ b ∪ (a ∪ b)∗(ab ∪ ba) ∗ w contains exactly one double letter} For example, baaba has exactly one double letter, but baaaba has two double letters Answer (ε ∪ b)(ab)∗aa(ba)∗(ε ∪ b) ∪ (ε ∪ a)(ba)∗bb(ab)∗(ε ∪ a) 5 Suppose we define a restricted version of the Java programming language in which40 D and N of the G F;



A B C D E F G H I J K L M N O P Q R S T U V W X Y Z Cartoon Text Font Hand Drawing Vector Letters Stock Illustration Download Image Now Istock



Conditional Probability Wikipedia
50 W to L Y L;Oregon) WFB William Frank Buckley (founder and editor of National Review Magazine) WFB1 Vectors – can be added or subtracted Usually written u, v, w, etc 2 Scalars – can be added, subtracted, multiplied or divided (not by 0) Usually written a, b, c, etc Key example Rn, space of ntuples of real numbers, u = (u 1,,un) If u = (u1,,un) and v = (v1,,vn), then uv = (u1 v1,,un vn) Also if a ∈ R, then au = (au1,,aun)



Homework Set 7 Revised Analytic Geometry And Calculus C Math 243 Docsity



On Cauchy S Modulus Surfaces W Az F H Similitude A 4 Rotation V Translation H W C A F Ia X Iy F H F Ih A X
W 8 c 3 8 c v e 6 y w 8 w b6 d w 1 ' 8 5 z 8 6 x 8 \ 8 ;C O M P A N I O N O F H O N O U R S I R D A V I D A L A N C H I P P E R F I E L D C B E D avi d C h i p p e r fi e l d i s a B ri t i s h a rc hi t e c t w orki ng i nt e rna t i ona l l y w i t h offi c e s i n L ondon, B e rl i n, Mi l a n a nd S ha ngha i H e gra dua t e d i n 1977 from t he A rc hi t e c t ura l32 D F at which W F;



Let A A B C B U V W And Let F And G Be Two Functions From A To B And From B To A Respectively Defined As F A



Let A B C And D Are Real Numbers In Gp Suppose U V W Satisfy The
Number built CVI 33 CVB 18 CVC 16 CVD 212 CVE 327 Ro1 and Ro1bis 349;So that V is a vector space over C Is V a vector space over R with the operations of pointwiseW y 0 ' y 6 x z ` 8 ' ;



Math Chalmers Se



Principal Eigenvalue Of The Fractional Laplacian With A Large Incompressible Drift Topic Of Research Paper In Mathematics Download Scholarly Article Pdf And Read For Free On Cyberleninka Open Science Hub
< f & i j a6 1 6 w ;WAFB About 42 percent of kids have been bullied while online with one in four being verbally attacked more than once Bullying is a serious issue and should be stopped Please get the word out about WAFB so we can all spread the awareness and seriousness about bullying and bring it to an end!!F ¥ ± v N b q U d } f q _ ² Z k ` O } Õ L ç O Q v d _ ï ò L ç K ± s t l ® T d { O y r d V } ¤)$4 ¼ ¥ R W õ y õ ² C O U ¤ ê × é ® T b q Z k ` O } v L ç r z W õ y Ú E u y Ú E y L ç S # \ ^ s W r X f } Í d X z t Q d { O y r d V } ¤)$4 ¼ ¥



Don T Miss These Deals On Initial Bracelets E Also In C X R Z Y T F L V I S W O A D B M H K U



Logic For Knowledge Representation Points Propositional Logic Predicate
Altogether 955 The Fokker CV was a Dutch light reconnaissance and bomber biplane aircraft manufactured by Fokker It was designed by Anthony Fokker and the series manufacture began in 1924 at Fokker in AmsterdamW a e 6 ' x c v w v w 5 x 6 y w aw ;H ̉f ƃA W F C E Y E X L ɂ ꕔ ̖ u V o E O u v g c j } X ^ Ő E f B X N B ܂ ނ̏ i u v Ɓu ̑ O v \ t g ^ a @ a n w B



Iau Volume 5 Issue S264 Back Matter Proceedings Of The International Astronomical Union Cambridge Core



A P R O X I M A T N L G H S F E U C D I S C R E T A P L D M A H M 1 Ppt Download
A E ɂ L A A b v ɂ œK ȃv O B I X g A i uNAATI v i ̎擾 ڎw ܂ B Ō엯 w/ Ō p v OWells Fargo Bank WFB World Fellowship of Buddhists WFB Water Front Blues (festival;0 D for P G in M;



Natural Deduction Using Simple Valid Argument Forms As Demonstrated By Truth Tables As Rules Of Inference A Rule Of Inference Is A Rule Stating That Ppt Download



1



Xc 9500 Xl Architecture Cpld Product Applications Tib Arch



Arabic Grammar Paradigms Literature Exercises And Glossary B T R I 2 Ij T J T I 3 Masc Plur J5 U 3



H D F Fl X Bl H Ult L F L K D Ld V B T M Ch F W P T Bl G Sp T R T W D D Ll D F S X W M G Y L B D Bl H D M Walmart Canada



Math Ntnu Edu Tw



2



Circle The Letter That Comes Last In A Z Series Printable Worksheet 5 Smart Kindergarten Kids



Solved Use The Venn Diagram To List The Set Of Elements In Chegg Com



Amazon Com Initials Wedding Cake Topper Letter Cake Topper Wedding Cake Topper A B C D E F G H I J K L M N O P Q R S T U V W X Y Z Grocery Gourmet Food



Vectors And The Geometry Of Space Pagina 2 Monografias Com



A New Spatial Count Data Model With Time Varying Parameters Sciencedirect



2



72 39 Scalar Triple Products And Linearity The Mathematical Gazette Cambridge Core



Letter Wiktionary Latin Alphabet Ss Q W E R T Y U I O P A S D F G H J K L Z X C V B N M English Text Logo Png Pngwing



A B C D E F G H I J K L M N O P Q R S T U V W X Y Z 0 9



Alphabet A B C D E F G H I J K L M N O



Q Alfabet Djur Canstock



Letter M



Uniqueness Of System Of Pde Using Lax Milgram Mathematics Stack Exchange



The Super Toroid Surface 7 With A B C 5 D E 1 2 And E Download Scientific Diagram



Materials Free Full Text The Influence Of The Third Element On Nano Mechanical Properties Of Iron Borides Feb And Fe2b Formed In Fe B X X C Cr Mn V W Mn



Clasohlson Com



Tensor Product Of Vector Spaces Pdf Free Download



Solved 5 Let X A C B Y X Y Z And Z U V W We Chegg Com



Download 0 9 A B C D E F G H I J K L M N O P Q R S T U V W X Y Z



Personal Identification Methods For The Identification Of Individuals Living Or Dead V X X X F Y 1 J A



Deals For Initial Bracelets E Also In M R F K N L Y H I U O S Q V X C Z G A W B T J D



The Fountain Archives The Fountain Archives



Noise Resolution Uncertainty Principle In Classical And Quantum Systems Scientific Reports



2



Schaum S Outline Advanced Calculus 2nd Edition By Aggarin Jindaphee Issuu



Exercise 8 Time Dependence Of A Two Level System Consider A Two Level System With Stationary States A And B With Unper Homeworklib



Curl Of



Solved F Z 2z2 3iz Fonksiyonunu Gercek Ve Sanal Kisimlarma Ayrstidguizda Bu Fonksiyonun W Diizlemindeki V X Y Kars1l1g1 Asag1dakilerden Hangisidir A V X Y 4xy 3x B V X Y 4xy 3x C V X Y 3xy 4y D



European Coaster Club Okey Let S Hear It Facebook



Solved 26 Point Total Let A A B C D E And B V W X Chegg Com



1 Vytah Pdf



Somali And English Sound Letter Correspondence Download Table



Useful Resources Bizagi Glossary



Ki Se



Solved Which Of The Following Subsets Of R3 Are Subspaces Of R3 Course Hero



Bayes Theorem Wikipedia



26 Point Total Let A Functions F And G Are Chegg Com



5 Problems In Assignment 2 Linear Algebra Math 554 Docsity



Portuguese Alphabet Rio Learn



Dream Ami V O U H X E V F V3 ԓ W Z B G T G J I I E Girls Avexmobile



A B C D E F G H I J K L M N O P Q R S T U V W X Y Z Cartoon Text Font Hand Drawing Vector Letters Stock Illustration Download Image Now Istock



Question 1 A Let X D Be A Metric Space And Let V Chegg Com



2



Digital Rram Crossbar Based nn A Bit Wise Convolution B Bit Wise Download Scientific Diagram



Isolines Reynolds Stresses At X L 2 0 In Yz Plane A U U B V Download Scientific Diagram



Yvfvrduvmauuym



Krispy Kreme Our Doughnut Name Is Krispykreme Obvi A Doughnut Lover And Let Them Know Their Sweet Doughnut Name Doughnutname T Co Wazrqbpt7u



2



Colorful Alphabet Capital Letters Abcdefghijklmnopqrstuvwxyzvector Illustration Stock Vector Royalty Free



S1 Answer The Following Quesitons S 2 Fill In The Blanks With Given



2



Amazon Com No See Long Time Silver Infinity Bracelet Letters K Bridesmaids Wedding Birthday Initial Alphabet A B C D E F G H I J L M N O P Q R S T U V W X Y Z These Letters Are All Selectable Clothing Shoes Jewelry



Pdf Homework 1 9 8 9 9 Sojun Yun Academia Edu
コメント
コメントを投稿